Darstellung von Methylorange

von Anna Hille

Thema: Farbstoffe Tags: Indikator, Farbstoffsynthese Klassenstufen: 11-12 Versuchsart: LV

Ziel des Versuchs: In diesem Versuch wird der Azofarbstoff Methylorange synthetisiert. Anhand der Reaktion soll exemplarisch der zweistufige Mechanismus der Synthese eines Azofarbstoffes, bestehend aus der Bildung eines Diazoniumions und der Azokupplung, gezeigt werden.

Materialien

Magnetrührer, Glaswanne, Rundkolben 100 mL, Thermometer, Messpipette,

Chemikalien

Sulfaniläure, N, N-Dimethylanilin, Eis, halbkonzentrierte Schwefelsäure, Natriumnitritlösung (c = 2,5 mol/L), verd. Natronlauge (c = 2 mol/L), pH-Indikatorpapier

Gefahrstoff H-Sätze P-Sätze GHS
Sulfanilsäure H319-H315-H317--
N,N-Dimethylanilin H351-H331-H311-H301-H411--
Schwefelsäure konz. H314--
Natriumnitrit H272-H301-H400--
Natronlauge 1 M H314P280-P301+P330+P331-P305+P351+P338-P309+P310
Methylorange fest H301P301+P310

Durchführung

Achtung: Es handelt sich um einen Versuch mit in der Stoffliste der DGUV gelisteten Verbindungen, die eine besondere Ersatzstoffprüfung verlangen und im Fall des N,N-Dimethylanilins einem Tätigkeitsverbot für werdende Mütter unterliegen. Vor Beginn prüfen! Tätigkeitsverbote beachten!

Der Versuch wird unter dem Abzug mit Schutzhandschuhen durchgeführt. In einen 100 mL Rundkolben werden 1,6 g Sulfanilsäure und 3 mL halbkonzentrierte Schwefelsäure gegeben. Unter ständigem Kühlen und Rühren (Die Temperatur darf nicht über 5 °C steigen) werden 4 mL vorgekühlte Natriumnitritlösung tropfenweise hinzugegeben. Die Temperatur wird dabei ständig kontrolliert. Im Anschluss werden 1,3 mL N,N- Dimethylanilin dazugegeben. Wenn die Reaktion abgeklungen ist, neutralisiert man das Gemisch mit verdünnter Natronlauge. Die Neutralisation ist durch einen Farbumschlag von Kirschrot nach Orange zu erkennen. Die Farbe einer stark verdünnten Methylorangelösung wird im Alkalischen und in saurer Lösung überprüft.

Beobachtung

Die Lösung im Kolben färbt sich nach Zugabe des N,N- Dimethylanilins rot und durch Zugabe von verdünnter Natronlauge orange. Die alkalische Lösung färbt sich gelb und die saure Lösung rot.

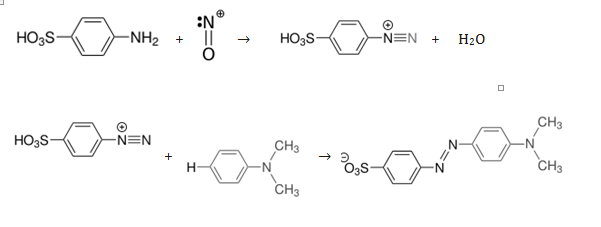
Abb. 1: Reaktionsmechanismus der Methylorangesynthese

Deutung

Es wird der Azofarbstoff Methylorange synthetisiert. Die Darstellung der Azoverbindung erfolgt in zwei Schritten. Beim ersten Schritt, der Diazotierung, wird aus dem primären aromatischen Amin der Sulfanilsäure mit Hilfe von Natriumnitrit ein Diazoniumion gebildet. Im zweiten Schritt, der Azokupplung, wird nach dem Mechanismus der elektrophilen Substitution das Diazoniumkation mit der Kupplungskomponente, hier N,N-Demethylanilin, zur Reaktion gebracht. Reaktionsmechanismus der Azofarbrstoffsynthese ist in Abbildung 1 dargestellt.

Entsorgung

Die Entsorgung erfolgt in die (flüssigen) organischen Abfälle.

Anmerkungen & Unterrichtsanschlüsse:

Der Versuch eignet sich als Erarbeitungsexperiment für die Synthese von Azofarbstoffen.

Hinweis: krebserregende Wirkung, Tätigkeitsverbot für Schüler

Literatur

Göttinger Experimentallabor für junge Leute e.V., Skript: Farbstoffe und Färben. S. 15


Download

Ähnliche Experimente

Darstellung und Eigenschaften von Phenolphtalein
Chromatische Auftrennung von Blattfarbstoffen

Feedback

Haben Sie Anmerkungen, Feedback oder Kritik zu diesem Experiment? Kontaktieren Sie uns unter Bezugnahme auf diese Seite!


Copyright und Lizenzen: Alle Rechte an den Inhalten dieser eLearning-Materialien liegen beim Autor oder den jeweiligen Urheberrechtsinhabern. Sämtliche Bilder und Texte sind entweder vom Autor selbst fotografiert oder verfasst oder sind gemeinfrei, es sei denn, es ist eine andere Quelle angegeben. Die gesammelten/vollständigen Literaturverzeichnisse der einzelnen Versuche sind jeweils in den entsprechenden Gesamtprotokollen zu finden.

Haftungsausschluss: Die Benutzung der hier vorliegenden Informationen geschieht auf vollkommen eigene Verantwortung. Haftung für Schäden oder Verluste, die beim Umgang mit den hier beschriebenen Stoffen oder bei der Durchführung von chemischen Versuchen entstehen, ist ausgeschlossen; ebenso wie Schadensersatzforderungen oder Gewährleistungsansprüche aufgrund falscher oder fehlender Angaben. Die Angaben zu den Stoffen und die Experimentieranleitungen wurden jedoch sorgfältig und nach bestem Gewissen erstellt und sind in jedem Falle zu beachten.